“Multiplique
ambos os membros da equação pelo número que vale quatro vezes o coeficiente do
quadrado e some a eles um número igual ao quadrado do coeficiente original da
incógnita. A solução desejada é a raiz quadrada disso.”
  
segunda-feira, 25 de maio de 2015
Avaliação
 Apresentação oral- 3 pontos
Pontualidade da entrega do trabalho escrito- 3 pontos
Trabalho escrito- 4 pontos
Pontualidade da entrega do trabalho escrito- 3 pontos
Trabalho escrito- 4 pontos
Processo
Links que poderão utilizar para a resolução dos problemas:
exercicios.brasilescola.com/exercicios.../exercicios-sobre-equacao-2-o-gr.
www.exerciciosresolvidos.net › Matemática › Equação de
segundo grau
Tarefa
1.       Aplicando a fórmula de Bhaskara, resolva as
seguintes equações do 2º grau.
a) 3x² – 7x + 4 = 0
b) 9y² – 12y + 4 = 0
c) 5x² + 3x + 5 = 0
2.      
Determine quais os valores de k para que a
equação 2x² + 4x + 5k = 0 tenha raízes reais e distintas.
3.      
Calcule o valor de p na equação x² – (p + 5)x +
36 = 0, de modo que as raízes reais sejam iguais.
Para essa condição, o valor de ∆ precisa ser
igual a 0.
Introdução
BHASKARA (1114 - 1185)
        Uma
das grandes influências da matemática indiana no ocidente foi do matemático
Bhaskara de Acharya (ou Bhaskara II, ou Báscara, ou Bhascar), nascido em 1114,
cujo nome se transformou na solução de equações algébricas do segundo grau.
Bhaskara nasceu em uma tradicional
família de astrólogos indianos, seguiu a tradição profissional da família,
porém com uma orientação científica, dedicando-se mais à parte matemática e
astronômica (tais como o cálculo do dia e hora, da ocorrência de eclipses ou
das posições e conjunções dos planetas) que dá sustentação à Astrologia.
Seus méritos foram logo reconhecidos e muito cedo atingiu o posto de diretor do Observatório de Ujjain, o maior centro de pesquisas matemáticas e astronômicas da Índia, na época.
Como matemático Bhaskara preencheu as lacunas do trabalho de Brahmagupta. É dele a primeira resposta plausível para a divisão por zero. Em seu trabalho “Vija-Ganita” ele afirma que tal quociente é infinito.
Seus méritos foram logo reconhecidos e muito cedo atingiu o posto de diretor do Observatório de Ujjain, o maior centro de pesquisas matemáticas e astronômicas da Índia, na época.
Como matemático Bhaskara preencheu as lacunas do trabalho de Brahmagupta. É dele a primeira resposta plausível para a divisão por zero. Em seu trabalho “Vija-Ganita” ele afirma que tal quociente é infinito.
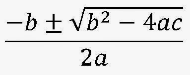
     A fórmula
de Bhaskara é usada, principalmente, para resolver equações quadráticas de
fórmula geral ax² + bx + c = 0, com coeficientes reais, com a ≠ 0. É através
desta fórmula que podemos deduzir uma expressão para a soma (S) e o produto (P)
das raízes da equação do 2º grau.
    Essa fórmula é muito importante,
pois nos permite resolver qualquer problema que envolva equações quadráticas,
os quais aparecem em várias situações, como por exemplo, na Física.
Assinar:
Comentários (Atom)

